-
2021.10.07 一行小错为何产生巨大破坏-Facebook史诗级故障大反思学习
Facebook大故障原因:一条写得很糟糕的命令、一款有缺陷的审核工具、一个阻碍成功恢复网络的DNS系统、以及严密的数据中心安全 Facebook故障是一系列不幸的事件酿成的! 一条写得很糟糕的命令、一款有缺陷的审核工具、一个阻碍成功恢复网络的DNS系统以及严密的数据中心安全,所有这些因素导致了Facebook长达 7 个小时的重大故障。 Facebook 表示,周一故障的根本原因是例行维护工作出…- 4
- 0
-
实践案例 – 360容器平台监控实践
背景 360 在做容器化平台之前,有一个基于小米开源的 Open-Falcon 进行二次开发的老监控系统 (Wonder),这个系统承揽了公司所有的物理机和虚拟机的监控任务。随着容器技术的普及,以容器的方式在创建应用时,由于 Kubernetes 容器编排系统部署的服务具有弹性扩容的特性,而老的监控系统无法感知这些动态创建的服务,已经不适合容器化的场景,所以 360 团队就搭建了一套可以支持服务发…- 2
- 0
-
最佳实践 – 技术如何从小白到管理,怎么支撑业务快速发展?
一、背景 技术管理者(技术总监/经理/CTO)期望通过体系化的管理方式建设,能够在百人,千人以上的团队中有效的构建聚焦目标、自我成长、高效能的研发作战团队,快速拿出成果,支撑业务的快速发展。 二、痛点 从小团队人员快速扩张,团队文化稀释,人员效能下降,目标逐渐弱化。 各自团队管理方式及标准不统一,人员管理及协同逐渐混乱。 组织扩大后,难以有效关注个人,无法准确评判个人的成长,贡献等。 三、目标 通…- 4
- 0
-
系统稳定性保障 – 迄今见过最易懂的混沌工程落地实践
一、背景 从 2010 年 Netflix 上线 Chaos Mokey 的第一个版本到现在,虽然混沌工程发展已历时十年,但其实只在少数大厂里面有较成熟的落地,对绝大部分研发同学来说,混沌工程还是一个比较陌生的领域。 分布式和微服务化已经成为主流的系统架构设计方案,大规模分布式系统的可用性保障能力越来越成为关注的重点。混沌工程也开始如雨后春笋般在各大企业内部萌芽生长,但大部分还处于初期的探索阶段,…- 6
- 0
-
系统稳定性保障 – 字节跳动混沌工程故障演练实践总结
什么是混沌工程 在生产环境中实际运行分布式系统,难免会有各种不可预料的突发事件发生。同时,云原生的发展,不断推进着微服务的进一步解耦,海量的数据与用户规模也带来了基础设施的大规模分布式演进。分布式系统天生有着各种相互依赖,可以出错的地方数不胜数,处理不好就会导致业务受损,或者是其他各种无法预期的异常行为。 在复杂的分布式系统中,无法阻止这些故障的发生,我们应该致力于在这些异常行为被触发之前,尽可能…- 69
- 0
-
Go语言开发Windows应用
当第一次看到Go程序在windows平台生成可执行的exe文件,就宣告了windows应用也一定是Go语言的战场。Go不是脚本语言,但却有着脚本语言的轻便简单的特性。相较于php和python之类以服务器控制台为主要战场的脚本语言来说,Go语言是真正的圆了“动态语言的应用开发梦”。 Windows Api Windows桌面应用依赖于win api,画出各种应用界面和控件本质上就是调用window…- 15
- 0
-
Spring Boot使用Logback
翻译自:https://springframework.guru/using-logback-spring-boot/ USING LOGBACK WITH SPRING BOOT Logback 为企业应用程序制作了一个优秀的日志框架-它的速度快, 具有简单但功能强大的配置选项, 而且内存占用小。在我的入门帖子中已经介绍了 logback ,logback 介绍: 企业日志框架。在 Logbac…- 8
- 0
-
20个最棒的JavaScript图表库
每个企业在做重要决定时都倾向于做数据分析。实际上他们很多时候都是沉沦在数据里头,不知道如何跳出其中。随着大数据的到来,曾经好用的表格和图表只是不再削减它了。 企业一直寻求更好的方式来可视化数据,更好的互动和使图表多角度。毕竟,只有从数据中抽出的见解才是有用的。 JavaScript 图表库出现了,作为漂亮的,容易理解的,交互式的可视化图表最有力的工具。它能更容易提取和传达关键的模式和见解,而静态图…- 19
- 0
-
本地缓存ehcache、guava cache和Caffeine
在多线程高并发场景中往往是离不开cache的,需要根据不同的应用场景来需要选择不同的cache,比如分布式缓存如redis、memcached,还有本地(进程内)缓存如ehcache、GuavaCache、Caffeine。 一、 ehcache 在Java项目广泛的使用。它是一个开源的、设计于提高在数据从RDBMS中取出来的高花费、高延迟采取的一种缓存方案。正因为Ehcache具有健壮性(基于j…- 165
- 0
-
JVM性能优化 Part I:JVM简介
JVM性能优化 Part I:JVM简介 众所周知,Java应用程序是运行在JVM上的,但是你对JVM有所了解么?作为这个系列文章的第一篇,本文将对经典Java虚拟机的运行机制做简单介绍,内容包括“一次编写,到处运行”的利弊、垃圾回收的基本原理、常用垃圾回收算法的示例和编译器优化等。后续的系列文章将会JVM性能优化的内容进 行介绍,包括新一代JVM的设计思路,以及如何支持当今…- 10
- 0
-
Java 性能优化的五大技巧
要对你的 java 代码进行优化,需要理解 java 不同要素之间的相互作用,以及它是如何与其运行时的操作系统进行交互的。使用下面这五个技巧和资源,开始学习如何分析和优化你的代码吧。 在我们开始之前, 你也许会担心许可的问题. Java 为 Oracle 公司所有,遵循 Oracle 的 BCL 许可,该许可证不是一个免费/开源许可证。即便如此, 仍然有许多开源项目由 Oracle 公司的 Jav…- 12
- 0
-
Netty In Action中文版 – 第一章:Netty介绍
Netty In Action中文版 - 第一章:Netty介绍 Netty介绍 为什么要使用non-blocking IO(NIO) 阻塞IO(blocking IO)和非阻塞IO(non-blocking IO)对比 Java NIO的问题和在Netty中的解决方案 Netty是基于Java NIO的网络应用框架,如果你是Java网络方面的新手,那么本章将是你学习Java网络应用的开始;对于有…- 2
- 0
-
Java单元测试(Junit+Mock+代码覆盖率)
单元测试是编写测试代码,用来检测特定的、明确的、细颗粒的功能。单元测试并不一定保证程序功能是正确的,更不保证整体业务是准备的。 单元测试不仅仅用来保证当前代码的正确性,更重要的是用来保证代码修复、改进或重构之后的正确性。 一般来说,单元测试任务包括 接口功能测试:用来保证接口功能的正确性。 局部数据结构测试(不常用):用来保证接口中的数据结构是正确的 比如变量有无初始值 变量是否溢出 边界条件测试…- 12
- 0
-
20个最棒的JavaScript图表库
每个企业在做重要决定时都倾向于做数据分析。实际上他们很多时候都是沉沦在数据里头,不知道如何跳出其中。随着大数据的到来,曾经好用的表格和图表只是不再削减它了。 企业一直寻求更好的方式来可视化数据,更好的互动和使图表多角度。毕竟,只有从数据中抽出的见解才是有用的。 JavaScript 图表库出现了,作为漂亮的,容易理解的,交互式的可视化图表最有力的工具。它能更容易提取和传达关键的模式和见解,而静态图…- 10
- 0
-
More than React(五)异步编程真的好吗?
策划|张凯峰 编辑|尾尾 《More than React》系列的上一篇文章HTML也可以编译?介绍了 Binding.scala 如何在渲染 HTML 时静态检查语法错误和语义错误,从而避免 bug ,写出更健壮的代码。本篇文章将讨论Binding.scala和其他前端框架如何向服务器发送请求并在页面显示。 在过去的前端开发中,向服务器请求数据需要使用异步编程技术。异步编程的概念很简单,指在进行…- 8
- 0
-
More than React(四)HTML也可以静态编译?
《More than React》系列的上一篇文章《虚拟DOM已死?》中比较了 Binding.scala 和其他框架的渲染机制。 (关注『前端之巅』公众号,发送“杨博”,查看More than React系列文章)本篇文章中将介绍 Binding.scala 中的 XHTML 语法。 其他前端框架的问题 对 HTML 的残缺支持 以前我们使用其他前端框架,比如 Cycle.js 、 Widok …- 13
- 0
-
More than React(一)为什么ReactJS不适合复杂交互的前端项目?
《More than React》系列的文章会一共分为五篇和一则附录。本文是第一篇,介绍用 ReactJS开发时遇到的种种问题。后面四篇文章的每一篇将会分别详细讨论其中一个问题,以及Binding.scala如何解决这个问题。附录是一则指南,指引你从头一步步创建Binding.scala项目。 \ 背景介绍 \ 去年 4 月,我第一次在某个客户的项目中接触到ReactJS 。 \ 我发现React…- 17
- 0
-
Hanlp中使用纯JAVA实现CRF分词
与基于隐马尔可夫模型的最短路径分词、N- 最短路径分词相比,基于条件随机场( CRF )的分词对未登录词有更好的支持。本文( HanLP )使用纯 Java 实现 CRF 模型的读取与维特比后向解码,内部特征函数采用 双数组 Trie 树 (DoubleArrayTrie) 储存,得到了一个高性能的中文分词器。 开源项目**** 本文代码已集成到HanLP 中开源: http://hanlp.co…- 114
- 0
-
运用TensorFlow处理简单的NLP问题
引言 当前无论是学术界还是工业界,深度学习都受到极大的追捧,尤其是在Google开源深度学习平台TensorFlow之后,更是给深度学习火上浇油。目前在开源社区Github上所有开源项目中,TensorFlow最为活跃,从推出到现在,经历了几个版本的演进,可以说能够灵活高效地解决大量实际问题。本文主要尝试阐述TensorFlow在自然语言处理(NLP)领域的简单应用,让大家伙儿更加感性地认识Ten…- 69
- 0
-
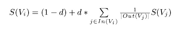
深度学习—-NLP-TextRank算法详解
文章目录 PageRank算法 TextRank算法提取关键词 TextRank算法提取关键词短语 TextRank生成摘要 共现矩阵 $~~~~~~~~$今天要介绍的TextRank是一种用来做关键词提取的算法,也可以用于提取短语和自动摘要。因为TextRank是基于PageRank的,所以首先简要介绍下PageRank算法。 1. PageRank算法 PageRank设计之初是用于Googl…- 127
- 0
-
为什么程序员一定要学深度学习
我 相 信 这 么 优秀 的 你 已 经 置 顶 了 我 对于深度学习,我也是一个初学者,能力有限,但这些的确是我现在的真实想法,我也会按这个思路去尝试。 1 我是一个好奇心很重的人。 深度学习刚开始流行的时候,我就做过简单的学习。当时我的结论是短期内,深度学习只能在弱智能徘徊,很难进展到强智能。 这个结论在今天看来,也不算过时。但真正被深度学习给 Shock 到,是去…- 63
- 0
-
Hadoop项目实战-用户行为分析之应用概述(三)
1.概述 本课程的视频教程地址:《 项目工程准备》 本节给大家分享的主题如下图所示: 下面我开始为大家分享今天的第三节的内容——《 项目工程准备》,接下来开始分享今天的内容。 2.内容 从本节开始,我们将进入到Hadoop项目的工程准备一节学习,本节课程为大家介绍的主要知识点有一下内容,如下图所示: 首先,我给大家介绍开发Hadoop项目的IDE和相关插件的使用,其内容包含的知识点如下图所示: 在…- 5
- 0
幸运之星正在降临...
点击领取今天的签到奖励!
恭喜!您今天获得了{{mission.data.mission.credit}}积分
我的优惠劵
-
¥优惠劵使用时效:无法使用使用时效:
之前
使用时效:永久有效优惠劵ID:×
没有优惠劵可用!















