根据哥伦比亚大学梅尔曼公共卫生学院的一项新研究,仅呼吸几周的污染空气就可能足以降低认知能力。空气污染的来源很多,包括香烟、炭火烤炉、汽油汽车和森林火灾等自然事件。而同一研究发现,常见的非甾体类止痛药可能有助于减少影响。

许多地方都制定了法规,以减少排放和解决雾霾问题。然而,新的研究指出,人们在工作和日常生活中可能会遇到许多潜在的短期空气污染暴露源,如坐在交通中。这种暴露可能会对认知能力产生负面影响。

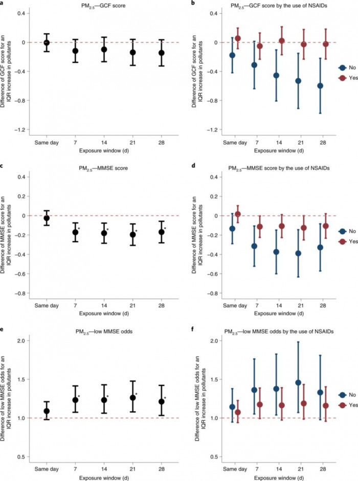
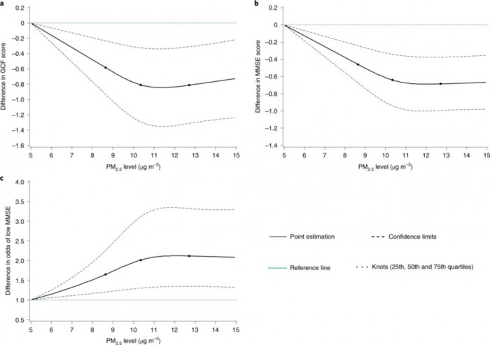
该研究结果是基于规范性老龄化研究的数据;它涉及 954 名被描述为来自波士顿地区的老年白人男子的参与者。研究人员使用几种不同的评估方法研究了接触细颗粒物 PM2.5、黑碳和认知表现。
研究小组将认知表现得分的下降与暴露于“平均升高的” PM2.5 空气污染联系起来,同样发现服用非甾体抗炎药的参与者最终从污染暴露中经历的负面影响较少。然而,研究人员指出,这并不意味着认知表现与服用这些止痛药之间有直接联系。

相反,该研究表明,阿司匹林和其他非甾体抗炎药有助于减少因呼吸空气污染而导致的大脑变化的影响,减少由此产生的负面影响。这项研究特别关注短期暴露,加入了关于空气污染暴露的长期认知影响的大量研究,包括痴呆症和较小的脑容量。

该研究的高级作者 Andrea Baccarelli 博士解释说:“尽管对排放有规定,但空气污染的短期峰值仍然频繁出现,并有可能损害健康,包括低于通常认为的危险水平。服用阿司匹林或其他抗炎药物似乎可以减轻这些影响,尽管仍然需要改变政策以进一步限制空气污染”。