这几个概念清楚就别看了
**完全图:**任意两个顶点间都有
直达的边相连的无向图。

**连通图:**任意两个顶点间都有
路径相通的无向图。

**生成树:**一个连通图的生成树是指一个
极小连通子图,含有图中的全部
n个顶点,但只有足以构成一棵树的
n-1条边。
为什么是n个顶点和n-1条边呢?
我们知道树的结构,一个节点可以通过一根树支访问它的父节点,所以一个节点对应一根树枝,但树的根是没有父节点的,所以是n个节点对应n-1根树枝。若这些树枝不仅可以由子节点访问父节点,也可以由父节点访问子节点,这样的话整棵树任意两个节点都可以有
路径相通,所以生成树就是一个通过顶点来确定边数使之最少的连通图。
可以发现,连通图的生成树可能并不唯一:

**例:**某公司想在各个办公室之间铺设通讯网络,每两个办公室之间距离不同,若想达到最低开销该怎么办?
完全图花费太大显然不行,那就先铺设代价最小的边,再铺设次之的边,直到铺完了n-1条边,过程中要保持连通且不能构成回路(有回路必定不连通),最终会确定一个花费最小的极小连通图,也就是这个连通图的
最小生成树。

那么如何用算法找到这个最小生成树呢?
在上面的分析中可以发现,解决最小生成树的问题有两个:
(1):尽可能选取权值最小的边且不构成回路;
(2):选n-1条边连n个节点。
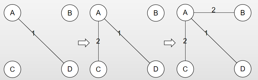
此时就说到prim算法了。这个思想还是直接用图画出来(写也写不清0.0):
完全图是这样:

先在其中选一个顶点作为生成树的根:
此时可以将完全图看成两个图:

找到两个图之间权值最小的边(A,D),将D加入到生成树:

再将完全图看成两个图并找到它们之间权值最小的边(A,C)和(A,B)(随便选一个):

将C加入到生成树上,找到最小权值的边(A,B):


加入B到生成树上,此时加完了4-1=3条边得到最小生成树:

prim算法的思想是这样的,但具体怎么实现呢?
我们需要设置一个辅助对象数组closedges[],
closedges[i].adjvex存储与i离得最近的节点,closedges[i].lowcost存储边(adjvex,i)的权值。
我们列表来看:
由于前面的例子太特殊,所以重新举一个例子:

| i | A | B | C | D | E | (u,v) |
| adjvex lowcost | 0 | A | A 2 | A 1 | A | (A,D) |
| adjvex lowcost | 0 | A | A 2 | 0 | D 3 | (D,C) |
| adjvex lowcost | 0 | C 3 | 0 | 0 | C 2 | (C,E) |
| adjvex lowcost | 0 | C 3 | 0 | 0 | 0 | (C,B) |
| adjvex lowcost | 0 | 0 | 0 | 0 | 0 |
1 | 1 |
**注解:**第一行以
A为起始点初始化closedges[],lowcost存储
与A相连的顶点之间的权值,代表顶点间无路径相连,0代表此顶点已加入最小生成树,之后挑选了D作为最小生成树的第二个顶点(权值最小)。
到第二行closedges[E]发生了变化,因为第一行选中了D作为第二个加入最小生成树的顶点,两个图之间各路径的最小权值发生了变化,所以更新数组,再次挑选两个图之间的最小权值得顶点E,之后由此类推……
存储:
图的数据结构(邻接矩阵);
1
2
3
4
5
6
7
8
9
10
11
12
13
14
15
16
17
18
19
20
21
22
23
24
25
26
27
28
29
30
31
32
33
34
35
36
37
38
39
40
41
42
43
44
45
46
47
48
49
50
51
52
53
54
55
56
57
58
59
60
61
62
63 1class Graph {
2 private int vexnum ; //顶点数
3 private int arcnum ; //边数
4 private int[] vexs ; //顶点
5 private int[][] costs ; //邻接矩阵
6 private int[][] status ; //存储边的状态(1:在使用0:停用)
7
8 public Graph(int vexnum, int arcnum){ //构造方法
9 this.arcnum = arcnum ;
10 this.vexnum = vexnum ;
11 this.costs = new int[vexnum+1][vexnum+1] ;
12 this.vexs = new int[vexnum+1] ;
13 this.status = new int[vexnum+1][vexnum+1] ;
14 int i ;
15 for(i=1; i<=vexnum; i++){
16 vexs[i] = i ;
17 }
18 }
19
20 public void createGraph(){ //读入图的信息
21 Scanner input = new Scanner(System.in) ;
22 int a, b, cost, statu, i, j ;
23
24 for(i=1; i<=vexnum; i++){
25 for(j=1; j<=vexnum; j++){
26 this.costs[i][j] = Integer.MAX_VALUE ;
27 }
28 }
29
30 for(i=1; i<=this.arcnum; i++){
31 a = input.nextInt() ;
32 b = input.nextInt() ;
33 cost = input.nextInt() ;
34 this.costs[a][b] = cost ;
35 this.costs[b][a] = cost ;
36 this.status[a][b] = statu ;
37 }
38 }
39
40 public void printGraph(){ //打印图的信息
41 int i, j ;
42 for(i=1; i<=vexnum; i++){
43 for(j=1; j<=vexnum; j++){
44 System.out.printf("%11d ", costs[i][j]) ;
45 }
46 System.out.println();
47 }
48 }
49
50 public int getVexnum() {
51 return vexnum;
52 }
53
54 public int getArcnum() {
55 return arcnum;
56 }
57
58 public int getCosts(int i, int j) {
59 return costs[i][j];
60 }
61
62}
63
设置一个辅助对象数组closedges[],它的结构如下:
1
2
3
4
5
6
7
8
9
10
11
12
13
14
15
16
17
18
19
20
21
22
23
24
25
26
27 1class Closedge {
2
3 private int adjvex ; //closedges[i].adjvex存储与i离得最近的节点
4 private int lowcost ; //closedges[i].lowcost存储边(adjvex,i)的权值
5
6 public Closedge(int adjvex, int lowcost){
7 this.adjvex = adjvex ;
8 this.lowcost = lowcost ;
9 }
10
11 public void setAdjvex(int adjvex) {
12 this.adjvex = adjvex;
13 }
14
15 public void setLowcost(int lowcost) {
16 this.lowcost = lowcost;
17 }
18
19 public int getAdjvex() {
20 return adjvex;
21 }
22
23 public int getLowcost() {
24 return lowcost;
25 }
26}
27
**prim算法如下:**思想理解后,结合前面的表格理解算法很简单,我就不再一一赘述了,代码有注释,哪里有问题随时问我,共同探讨!0.0
1
2
3
4
5
6
7
8
9
10
11
12
13
14
15
16
17
18
19
20
21
22
23
24
25
26
27
28
29
30
31
32
33
34
35
36
37
38
39
40
41
42
43
44
45
46
47
48
49
50
51
52
53
54
55
56
57
58
59
60 1 public static void prim(Graph g, int start){ //closeages[k].lowcost==0表示k节点已经加入到最小生成树的节点中
2 Closedge[] closedges = new Closedge[g.getVexnum()+1] ;
3 closedges[start] = new Closedge(start, 0) ;
4
5 //System.out.printf("加入的节点:%d ", start) ;
6 //对出发点以外的顶点初始化对应的closeages数组
7 int i, j, min, m = 0 ;
8 for(i=1; i<=g.getVexnum(); i++){
9 if(i != start){
10 closedges[i] = new Closedge(start, g.getCosts(start, i)) ;
11 }
12 }
13
14 //打印closedges
15 for(i=1; i<=g.getVexnum(); i++){
16 System.out.printf("adjvex:") ;
17 System.out.printf("%d ", closedges[i].getAdjvex()) ;
18 System.out.printf("lowcost:") ;
19 System.out.printf("%d ", closedges[i].getLowcost()) ;
20 }
21 System.out.println();
22
23 int sum = 0 ; //记录最小生成树的总权值
24 for(j=1; j<=g.getVexnum()-1; j++) {
25
26 //选择最小权的边
27 min = Integer.MAX_VALUE;
28 for (i = 1; i <= g.getVexnum(); i++) {
29 if (closedges[i].getLowcost() != 0 && closedges[i].getLowcost() < min) { //找出与i相关的边中的最小权值的边
30 m = i;
31 min = closedges[i].getLowcost();
32 }
33 }
34 sum += closedges[m].getLowcost();
35 closedges[m].setLowcost(0); //将m顶点加入生成树
36 //System.out.printf("%d ", m);
37
38
39 //由于新加入的m顶点导致当前生成树U与集合V-U连接的最小权值的边可能发生变化,所以更新closeages数组的值
40 for (i = 1; i <= g.getVexnum(); i++) {
41 if (i != m && g.getCosts(m, i) < closedges[i].getLowcost()) {
42 closedges[i].setLowcost(g.getCosts(m, i));
43 closedges[i].setAdjvex(m); //因为与m相连接,所以赋值m
44 }
45 }
46
47 //打印closedges数组
48 for(i=1; i<=g.getVexnum(); i++){
49 System.out.printf("adjvex:") ;
50 System.out.printf("%d ", closedges[i].getAdjvex()) ;
51 System.out.printf("lowcost:") ;
52 System.out.printf("%d ", closedges[i].getLowcost()) ;
53 }
54 System.out.println();
55 }
56 System.out.println();
57 System.out.printf("最小生成树的权值:%d", sum) ;
58 }
59
60
运行结果:
