公众号
前言
论文地址:https://arxiv.org/pdf/1601.02376.pdf
论文开源代码(基于Theano实现):https://github.com/wnzhang/deep-ctr
参考代码(无FM初始化):https://github.com/Sherryuu/CTR-of-deep-learning
重构代码:https://github.com/wyl6/Recommender-Systems-Samples/tree/master/RecSys%20And%20Deep%20Learning/DNN/fnn
FNN = FM+MLP
FM在到底初始化什么
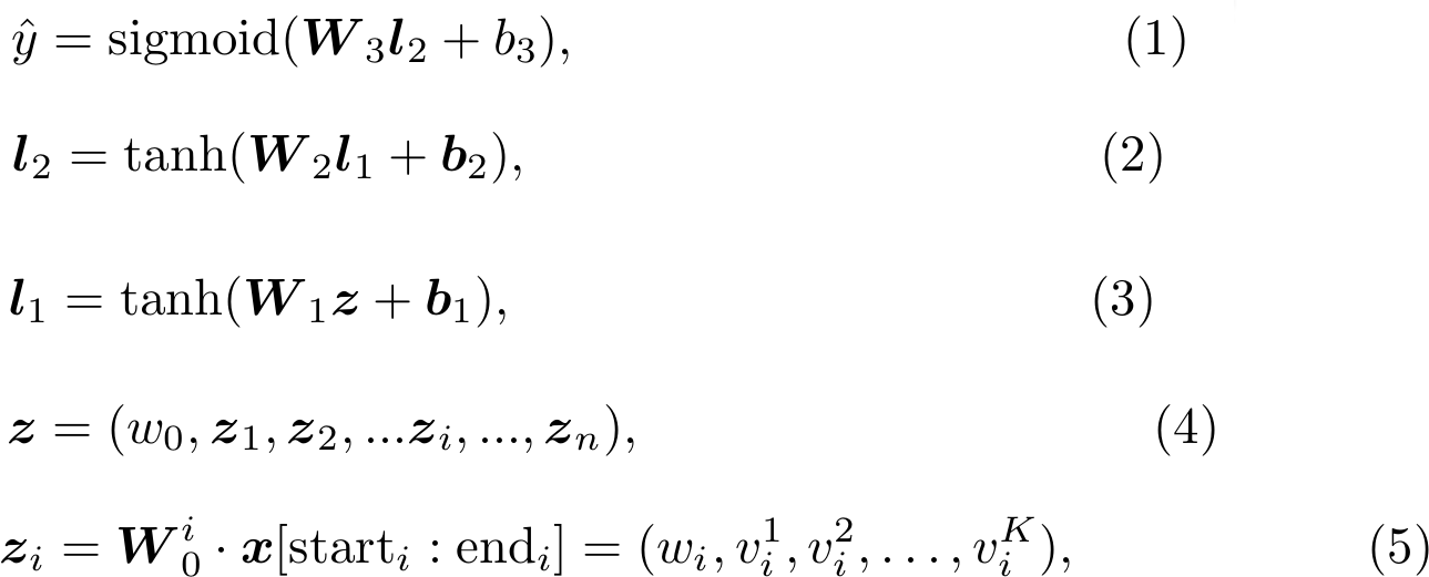
FNN首先使用FM初始化输入embedding层,然后使用MLP来进行CTR预估,具体怎么做的呢?看论文中的一张图:

单看图来理解的有一定的迷惑性,加上z的输出结公式就更有迷惑性了:

其中wi为第i个field经FM初始化得到的一次项系数,vi就是隐向量,K为隐向量vi的维度.如果初始化的是z,那Dense Real Layer显示的结果显示每个field只有1个wi和vi,这不对啊,之前看FM的时候每个field的每个特征都对应一个wi和vi,这是怎么回事呢?实际上,FM初始化的是系数向量x到dense layer之间的权重矩阵W:

我给大家画张图,假设样本有3个field,3个field维度分别为N1,N2,N3,那我们经过FM初始化可以获得N=N1+N2+N3个隐向量和一次项系数w,用它们组成权重矩阵W0:

但是作者并没有直接将x和权重矩阵相乘来计算z,这样计算出的结果是K+1维,相当于把样本的所有非零特征对应的K+1维向量加起来.降维太过了,数据压缩太厉害总会损失一部分信息,因此作者将每个field分别相乘得到K+1维结果,最后把所有field的结果串联起来:

这样初始化时,由于样本每个field只有一个非零值,第i个field得到的z值就是非零特征对应的w和v:

FNN的流程
了解FM初始化的是权重矩阵W0后,FNN流程就清楚了,从后往前看,一步到位:

代码实战
数据格式
数据共有22个field,各field中属性取值的可枚举个数为:
1
2
3 1FIELD_SIZES = [1037, 151, 59, 1603, 4, 333, 77890, 1857, 9, 8, 4, 7, 22, 3, 92, 56, 4, 920, 38176, 240, 2697, 4]
2
3
样本x则被划分为:

由于是模拟CTR预估,所以标签y是二分类的,实验中y∈{0,1}.
参数保存与加载
FNN源代码中没有FM初始化这部分,只有MLP,博主自己加上了.
参数保存,常见的就是使用tf.train.Saver.保存所有模型的参数和值,然后加载部分参数或全部参数;或者保存指定参数和参数值,然后加载想要的参数和参数的值.为了和源代码借口保持一致,我们并没有使用tf.train.Saver,而是直接获取参数值,构造一个字典,保存到本地:
1
2
3
4
5
6
7
8
9
10
11
12
13
14
15
16
17
18
19
20 1def dump(self, model_path):
2# weight = [self.vars['w'], self.vars['v'], self.vars['b']]
3# saver = tf.train.Saver(weight)
4# saver.save(self.sess, model_path)
5# print(self.sess.run(self.vars['w']))
6# print(self.sess.run('w:0'))
7# print(self.vars['w'])
8# for i,j in self.vars.items():
9# print(i, j)
10# print(self.sess.run(j))
11 var_map = {}
12 for name, var in self.vars.items():
13 print('----------------',name, var)
14 var_map[name] = self.sess.run(var)
15 pkl.dump(var_map, open(model_path, 'wb'))
16 print('model dumped at', model_path)
17 load_var_map = pkl.load(open(model_path, 'rb'))
18 print('load_var_map[w]', load_var_map['w'])
19
20
pkl.dump可以保存多种类型的数据,用pkl.load加载,下面是加载的部分:
1
2
3
4
5
6
7
8
9
10
11
12
13
14
15 1 feature_size = sum(field_sizes)
2 init_vars.append(('w', [feature_size, 1], 'fm', dtype))
3 init_vars.append(('v', [feature_size, embed_size], 'fm', dtype))
4 init_vars.append(('b', [1, ], 'fm', dtype))
5
6 self.vars = utils.init_var_map(init_vars, init_path)
7 init_w0 = tf.concat([self.vars['w'],self.vars['v']], 1)
8 lower, upper = 0, field_sizes[0]
9 for i in range(num_inputs):
10 if(i != 0):
11 lower, upper = upper, upper+field_sizes[i]
12 self.vars['embed_%d' % i] = init_w0[lower:upper]
13 w0 = [self.vars['embed_%d' % i] for i in range(num_inputs)]
14
15
其中的init_var_map函数如下:
1
2
3
4
5
6
7
8
9
10
11
12
13
14
15
16
17
18
19
20
21
22
23
24
25
26
27
28
29
30
31
32
33 1def init_var_map(init_vars, init_path=None):
2 if init_path is not None:
3 load_var_map = pkl.load(open(init_path, 'rb'))
4 print('load variable map from', init_path, load_var_map.keys())
5 var_map = {}
6 for var_name, var_shape, init_method, dtype in init_vars:
7 if init_method == 'zero':
8 var_map[var_name] = tf.Variable(tf.zeros(var_shape, dtype=dtype), name=var_name, dtype=dtype)
9 elif init_method == 'one':
10 var_map[var_name] = tf.Variable(tf.ones(var_shape, dtype=dtype), name=var_name, dtype=dtype)
11 elif init_method == 'normal':
12 var_map[var_name] = tf.Variable(tf.random_normal(var_shape, mean=0.0, stddev=STDDEV, dtype=dtype),
13 name=var_name, dtype=dtype)
14 elif init_method == 'tnormal':
15 var_map[var_name] = tf.Variable(tf.truncated_normal(var_shape, mean=0.0, stddev=STDDEV, dtype=dtype),
16 name=var_name, dtype=dtype)
17 elif init_method == 'uniform':
18 var_map[var_name] = tf.Variable(tf.random_uniform(var_shape, minval=MINVAL, maxval=MAXVAL, dtype=dtype),
19 name=var_name, dtype=dtype)
20 elif init_method == 'xavier':
21 maxval = np.sqrt(6. / np.sum(var_shape))
22 minval = -maxval
23 value = tf.random_uniform(var_shape, minval=minval, maxval=maxval, dtype=dtype)
24 var_map[var_name] = tf.Variable(value, name=var_name, dtype=dtype)
25 elif isinstance(init_method, int) or isinstance(init_method, float):
26 var_map[var_name] = tf.Variable(tf.ones(var_shape, dtype=dtype) * init_method, name=var_name, dtype=dtype)
27 elif init_method == 'fm':
28 var_map[var_name] = tf.Variable(load_var_map[var_name], name=var_name, dtype=dtype)
29 else:
30 print('BadParam: init method', init_method)
31 return var_map
32
33
模型如何使用
调试的过程如下,首先设置algo='fm',获得一次项系数w和隐向量v,保存参数;然后algo='fnn',进行CTR预测.
1
2
3
4
5
6
7
8
9
10
11
12
13
14
15
16
17
18
19
20
21
22
23
24
25
26
27
28
29
30
31
32
33
34
35
36
37
38
39
40
41 1# algo = 'fm'
2algo = 'fnn'
3if algo in {'fnn','anfm','amlp','ccpm','pnn1','pnn2'}:
4 train_data = utils.split_data(train_data)
5 test_data = utils.split_data(test_data)
6 tmp = []
7 for x in field_sizes:
8 if x > 0:
9 tmp.append(x)
10 field_sizes = tmp
11 print('remove empty fields', field_sizes)
12
13if algo == 'fm':
14 fm_params = {
15 'input_dim': input_dim,
16 'factor_order': 128,
17 'opt_algo': 'gd',
18 'learning_rate': 0.1,
19 'l2_w': 0,
20 'l2_v': 0,
21 }
22 print(fm_params)
23 model = FM(**fm_params)
24elif algo == 'fnn':
25 fnn_params = {
26 'field_sizes': field_sizes,
27 'embed_size': 129,
28 'layer_sizes': [500, 1],
29 'layer_acts': ['relu', None],
30 'drop_out': [0, 0],
31 'opt_algo': 'gd',
32 'learning_rate': 0.1,
33 'embed_l2': 0,
34 'layer_l2': [0, 0],
35 'random_seed': 0,
36 'init_path':pkl_path,
37 }
38 print(fnn_params)
39 model = FNN(**fnn_params)
40
41
运行结果
FNN使用‘Xavier’初始化时:
1
2
3
4 1 for i in range(num_inputs):
2 init_vars.append(('embed_%d' % i, [field_sizes[i], embed_size], 'xavier', dtype))
3
4
运行10次效果为:
1
2
3
4
5
6
7
8
9
10
11
12
13
14
15
16
17
18
19
20
21
22
23
24
25
26
27
28
29
30
31
32 1[0] training...
2[0] evaluating...
3[0] loss (with l2 norm):0.358097 train-auc: 0.610657 eval-auc: 0.661392
4[1] training...
5[1] evaluating...
6[1] loss (with l2 norm):0.350506 train-auc: 0.624879 eval-auc: 0.679986
7[2] training...
8[2] evaluating...
9[2] loss (with l2 norm):0.348581 train-auc: 0.631834 eval-auc: 0.688470
10[3] training...
11[3] evaluating...
12[3] loss (with l2 norm):0.347268 train-auc: 0.637031 eval-auc: 0.694607
13[4] training...
14[4] evaluating...
15[4] loss (with l2 norm):0.346279 train-auc: 0.641287 eval-auc: 0.699670
16[5] training...
17[5] evaluating...
18[5] loss (with l2 norm):0.345490 train-auc: 0.644798 eval-auc: 0.703892
19[6] training...
20[6] evaluating...
21[6] loss (with l2 norm):0.344828 train-auc: 0.647727 eval-auc: 0.707407
22[7] training...
23[7] evaluating...
24[7] loss (with l2 norm):0.344262 train-auc: 0.650155 eval-auc: 0.710297
25[8] training...
26[8] evaluating...
27[8] loss (with l2 norm):0.343769 train-auc: 0.652261 eval-auc: 0.712707
28[9] training...
29[9] evaluating...
30[9] loss (with l2 norm):0.343332 train-auc: 0.654116 eval-auc: 0.714787
31
32
FM迭代50次后初始化:FNN运行结果为:
1
2
3
4
5
6
7
8
9
10
11
12
13
14
15
16
17
18
19
20
21
22
23
24
25
26
27
28
29
30
31
32 1[0] training...
2[0] evaluating...
3[0] loss (with l2 norm):0.361066 train-auc: 0.607293 eval-auc: 0.642668
4[1] training...
5[1] evaluating...
6[1] loss (with l2 norm):0.353281 train-auc: 0.634517 eval-auc: 0.679833
7[2] training...
8[2] evaluating...
9[2] loss (with l2 norm):0.350498 train-auc: 0.640884 eval-auc: 0.688085
10[3] training...
11[3] evaluating...
12[3] loss (with l2 norm):0.347988 train-auc: 0.648423 eval-auc: 0.696806
13[4] training...
14[4] evaluating...
15[4] loss (with l2 norm):0.345739 train-auc: 0.657166 eval-auc: 0.706803
16[5] training...
17[5] evaluating...
18[5] loss (with l2 norm):0.343678 train-auc: 0.665929 eval-auc: 0.716429
19[6] training...
20[6] evaluating...
21[6] loss (with l2 norm):0.341738 train-auc: 0.674693 eval-auc: 0.725318
22[7] training...
23[7] evaluating...
24[7] loss (with l2 norm):0.339869 train-auc: 0.682893 eval-auc: 0.733139
25[8] training...
26[8] evaluating...
27[8] loss (with l2 norm):0.338055 train-auc: 0.690134 eval-auc: 0.739590
28[9] training...
29[9] evaluating...
30[9] loss (with l2 norm):0.336269 train-auc: 0.696557 eval-auc: 0.744801
31
32
auc值变大,明显得到改善。
参考代码(无FM初始化):https://github.com/Sherryuu/CTR-of-deep-learning
重构代码:https://github.com/wyl6/Recommender-Systems-Samples/tree/master/RecSys%20And%20Deep%20Learning/DNN/fnn